• Предмет: Алгебра
  • Автор: aytboec
  • Вопрос задан 8 лет назад

Срочно нужно решение и ответ

Приложения:

Ответы

Ответ дал: insane69
0
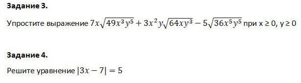
задание 4:
3х-7=5
3х-7=-5

х=4
х=2/3
Вас заинтересует