• Предмет: Алгебра
  • Автор: dariashuliak41
  • Вопрос задан 8 лет назад

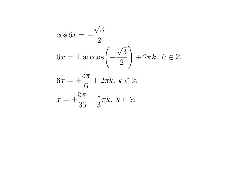
Розв‘яжіть рівняння cos6x= -корень3/2

Ответы

Ответ дал: genius20
0

Если появятся какие-нибудь вопросы — задавайте.


Если моё решение оказалось полезным, смело отмечайте его как «лучший ответ».

Приложения:
Ответ дал: dariashuliak41
0
Закінституту формулу (х не равен 0)
Вас заинтересует