• Предмет: Математика
  • Автор: Аноним
  • Вопрос задан 8 лет назад

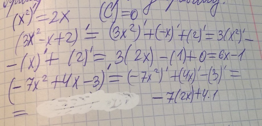
дифференцирование,объяснить,решать ничего не надо. откуда ноль взялся?

Приложения:

Ответы

Ответ дал: Amigo3
0

Ответ: производная от 2 (от константы) равна нулю.  А единица в конце - это производная от х по х.


Пошаговое объяснение:


Ответ дал: Аноним
0
пошагового объяснения нет...
Ответ дал: Аноним
0
не доходит до меня,почему в конце производная от х по х,если там тройка...
Ответ дал: ТатМих
0
Так верно же написали,производная от числа равна 0,то есть (2)'=0
Ответ дал: ТатМих
0
(x)'=1
Ответ дал: ТатМих
0
(3x^2)'=3*(x*2)'=3*2x=6x
Вас заинтересует