• Предмет: Алгебра
  • Автор: omfrjpewp
  • Вопрос задан 8 лет назад

объясните как делать(тут 4 варианта ответа)

Приложения:

Ответы

Ответ дал: genius20
0

Чтобы не допустить ошибки, стоит за одно действие сокращать одну пару общих множителей.

***

Если появятся какие-нибудь вопросы — задавайте.


Приложения:
Ответ дал: Lostvoise
0

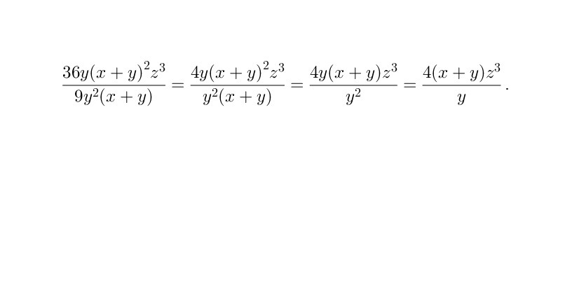
Одинаковые множители сверху и снизу сокращаются

Сократим на 9:

frac{4y(x+y)^{2}*z^{3}}{y^{2}(x+y)}

Сократим на (x+y):

frac{4y(x+y)z^{3} }{y^{2} }

Cократим на y:

frac{4(x+y)z^{3} }{y}

Больше ничего сократить нельзя.

Правильный ответ - второй сверху.

Приложения:
Вас заинтересует