• Предмет: Алгебра
  • Автор: Sergo0309
  • Вопрос задан 8 лет назад

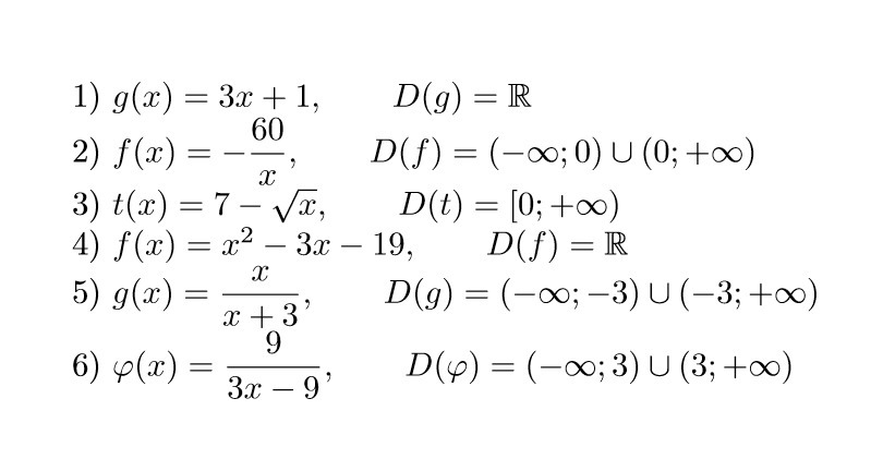
допоможіть потрібно знайти область значень і визначень номер 335

Приложения:

Ответы

Ответ дал: genius20
0

Если появятся какие-нибудь вопросы — задавайте.

Если моё решение оказалось полезным, смело отмечайте его как «лучший ответ».

Приложения:
Вас заинтересует