• Предмет: Алгебра
  • Автор: laissezfaire
  • Вопрос задан 8 лет назад

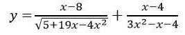
Как найти область определения функции в подобном неравенстве?

Приложения:

Ответы

Ответ дал: sangers
0

ОДЗ:

1. 5+19x-4x²>0  |×(-1)

4x²-19x-5<0

4x²-19x-5=0    D=441     √D=21

x₁=5       x₂=-1/4   ⇒

(x-5)(x+1/4)<0

-∞_____+_____-1/4____-____5_____+_____+∞

x∈(-1/4;5)

2. 3x²-x-4≠0   D=49     √D=7

x₁≠-1        x₂≠4/3≠1¹/₃   ⇒

Ответ: x∈(-1/4;1¹/₃)U(1¹/₃;5).



Вас заинтересует