• Предмет: Алгебра
  • Автор: 2475755
  • Вопрос задан 8 лет назад

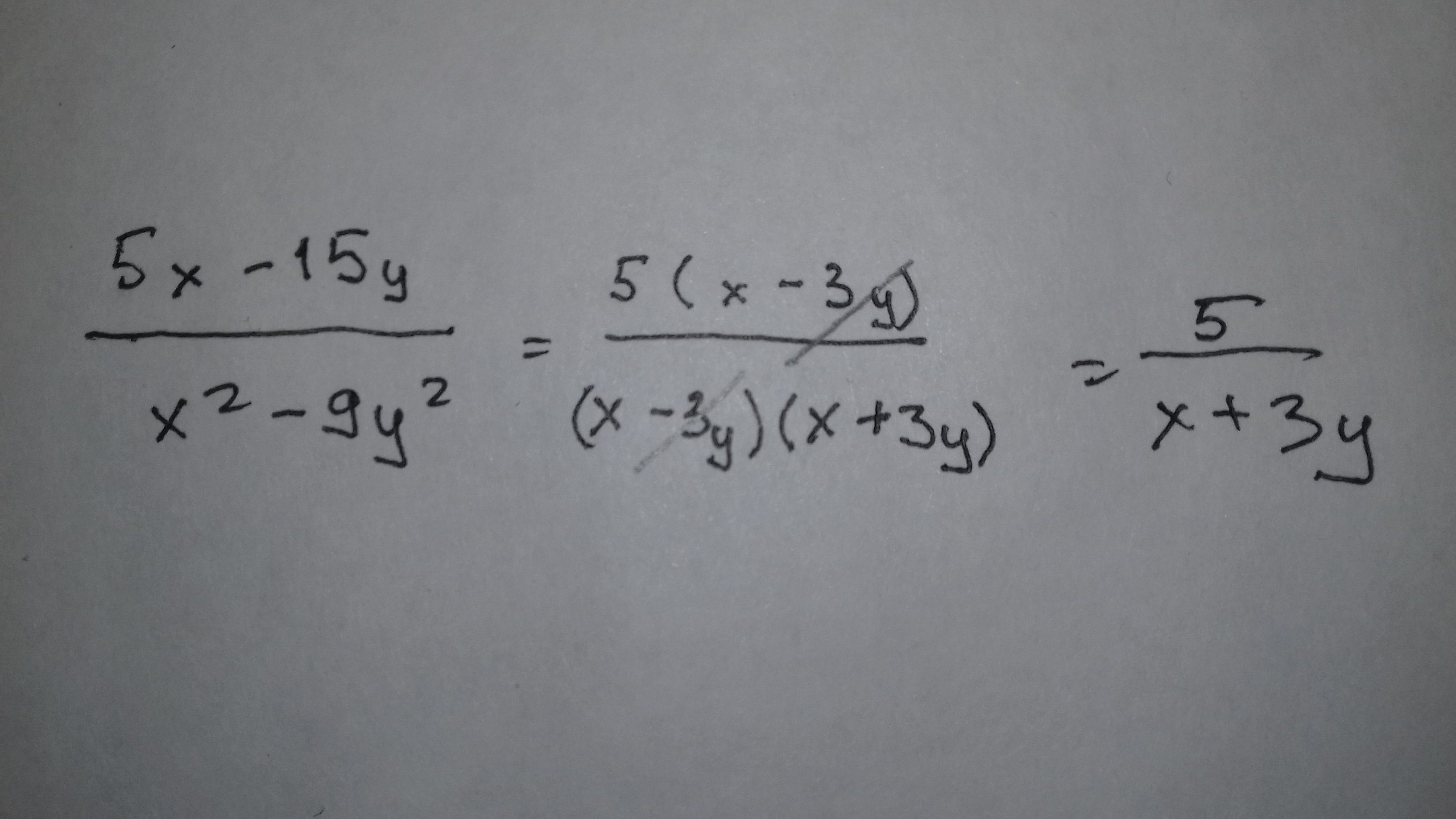
сократите дробь!!!!!

Приложения:

Ответы

Ответ дал: nastab771
0

,,,,,,,,,,,,,,,,,,,НА БЕРИ

Приложения:
Вас заинтересует