• Предмет: Математика
  • Автор: valerkanumber1
  • Вопрос задан 8 лет назад

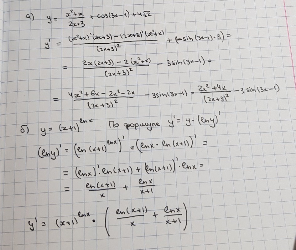
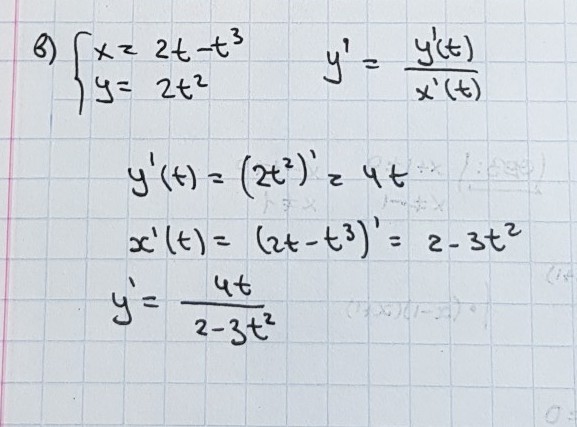
Найти производные dx/dy.

Приложения:

Ответы

Ответ дал: Miroslava227
0
решение на фотографиях
Приложения:
Вас заинтересует