• Предмет: Алгебра
  • Автор: shvetsova5
  • Вопрос задан 8 лет назад

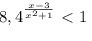
Решите, пожалуйста, неравенство 10 кл!

Приложения:

Ответы

Ответ дал: sokold2606
0

Все на фото. Знак не меняеться , поскольку 8.4>1

Приложения:
Ответ дал: InvisorTech
0
Ответ в конце неверный
Вас заинтересует