Ответы
Ответ дал:
0
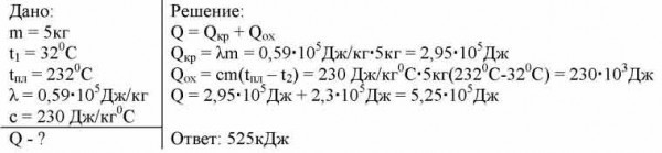
Пожалуйста. График думаю, начертите сами. Там нет ничего сложного.
Приложения:

Ответ дал:
0
а как график начертить
Вас заинтересует
2 года назад
2 года назад
3 года назад
3 года назад
9 лет назад
9 лет назад
9 лет назад
9 лет назад