Ответы
Ответ дал:
0
Нам нужно построить угол, синус которого равен - 5/13.
Решение:
синус - в прямоугольном треугольнике это отношение противолежащего катета к гипотенузе.
Для этого построения нам надо найти второй катет прямоугольного треугольника, в котором один катет равен 5, гипотенуза - 13.
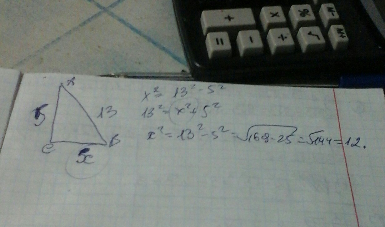
Пусть нам надо построить треугольник АВС с прямым углом С.
Известны гипотенуза АВ=13, катет АС=5
По т. Пифагора квадрат гипотенузы равен сумме квадратов катетов, имеем: АВ²=АС²+СВ²
х²=АВ²-АС²
х=√АВ²-АС²
х=√13²-5²=√169-25=√144=12.
Решение:
синус - в прямоугольном треугольнике это отношение противолежащего катета к гипотенузе.
Для этого построения нам надо найти второй катет прямоугольного треугольника, в котором один катет равен 5, гипотенуза - 13.
Пусть нам надо построить треугольник АВС с прямым углом С.
Известны гипотенуза АВ=13, катет АС=5
По т. Пифагора квадрат гипотенузы равен сумме квадратов катетов, имеем: АВ²=АС²+СВ²
х²=АВ²-АС²
х=√АВ²-АС²
х=√13²-5²=√169-25=√144=12.
Приложения:

Вас заинтересует
2 года назад
2 года назад
3 года назад
3 года назад
9 лет назад
9 лет назад