Ответы
Ответ дал:
0
Ответ на фото ///////////
Приложения:

Ответ дал:
0
спасибо большое!
Ответ дал:
0
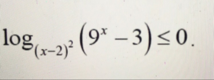
x
ОДЗ :
Значит : x ∈ (1/2 ; 1)∪(1 , 2)∪(2 , 3)∪(3 ; + ∞)
Решение:
((x - 2)² - 1)(3²ˣ - 3 - 1) ≤ 0
(x - 2 - 1)(x - 2 + 1)(3²ˣ - 2²) ≤ 0
- + - + -
₀________[log_₃2]_________₀_________₀______
1/2 1 3
x ∈ (1/2 ; log_₃2] ∪ (1 , 2) ∪ (2 ; 3)
Приложения:

Вас заинтересует
2 года назад
3 года назад
3 года назад
9 лет назад
9 лет назад
9 лет назад