Ответы
Ответ дал:
0
Ответ: -0,5.
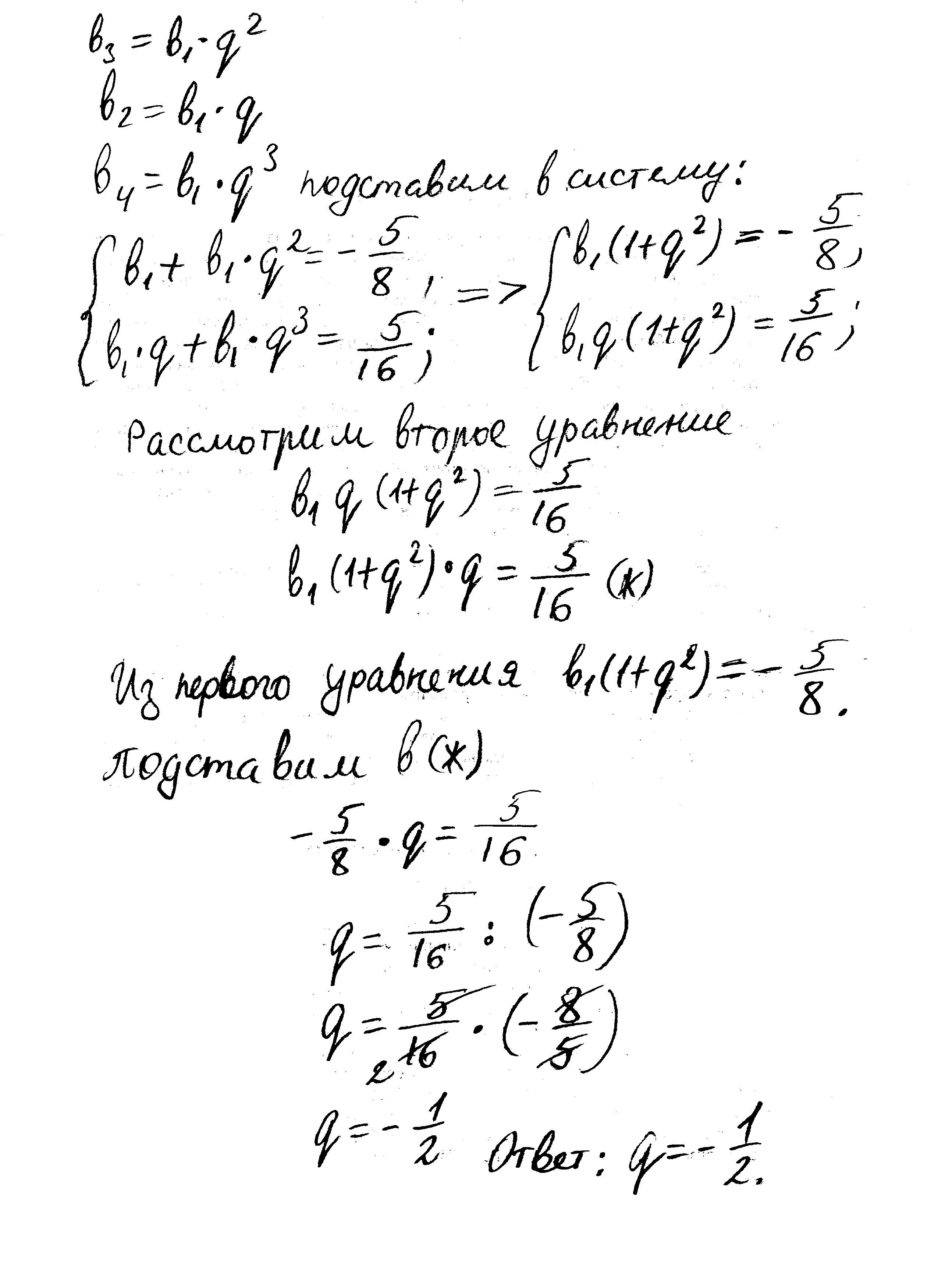
Решение: в приложении
Приложения:

Ответ дал:
0
Ответ на фото///////////
Приложения:

Вас заинтересует
2 года назад
3 года назад
3 года назад
9 лет назад
9 лет назад
9 лет назад