• Предмет: Алгебра
  • Автор: sachalybimov
  • Вопрос задан 8 лет назад

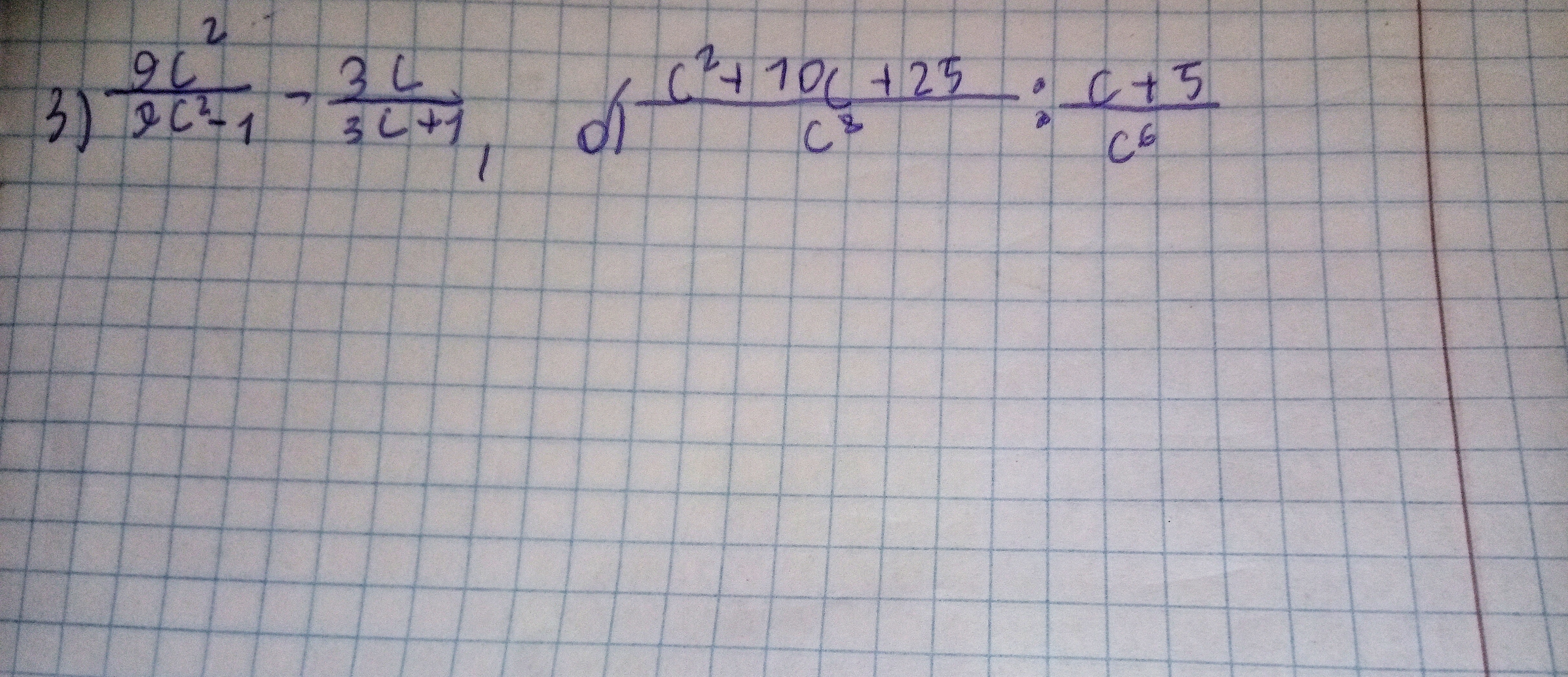
Упратите вырождение . И пж побыстрей

Приложения:

Ответы

Ответ дал: dima7687
0
555555555555555555555555555
Приложения:
Вас заинтересует