• Предмет: Химия
  • Автор: elana444
  • Вопрос задан 8 лет назад

Помогите срочно!!!

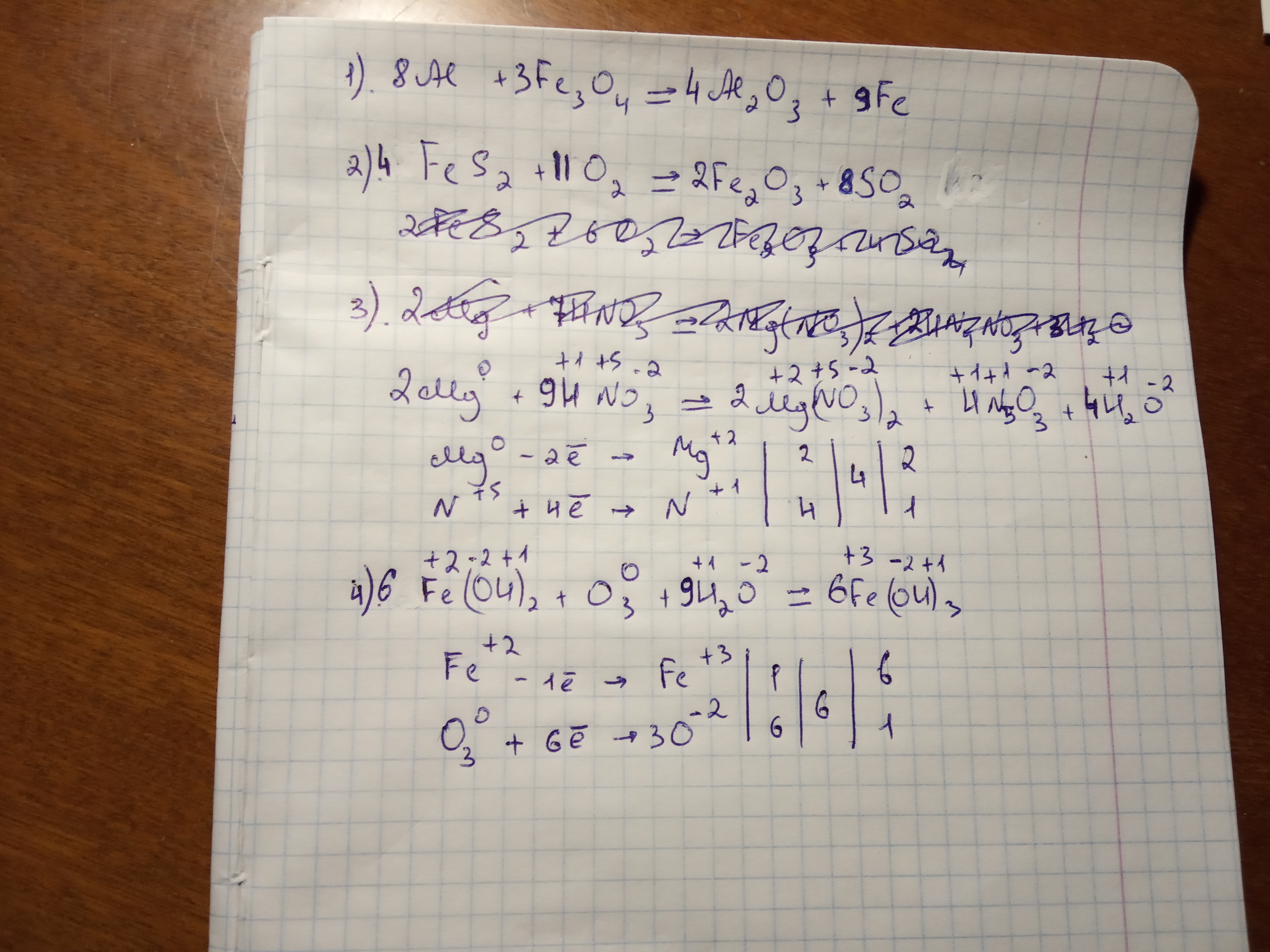
Подберите коэффициенты в уравнениях следующих окислительно-восстановительных реакциях :1) Al +FE3O4=AL2O3+FE
2) FeS2+O2=FE2O3+SO2
3)MG+HNO3(разб)=MG(NO3)2+NH4NO3+H2O
4)FE(OH)2+O3+H2O=FE(OH)3
5)H2S+HNO3=H2SO4+NO+H2O

Ответы

Ответ дал: krstnmanko
0

Я понимаю , что это не все , и , что 4 я не доделала , но пыталась хоть чем-то помочь . Моя голова просто отказывается это решать

Приложения:
Ответ дал: jnona
0

https://ru-static.z-dn.net/files/d9b/05190c5673171b6a71c9d48fb8ebc14e.jpg

Приложения:
Вас заинтересует