• Предмет: Математика
  • Автор: murinsya
  • Вопрос задан 8 лет назад

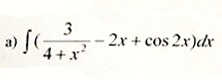
Помогите. Нужно решить неопределенный интеграл

Приложения:

Ответы

Ответ дал: ageofmemories
0

(frac{3}{4+x^{2} } - 2x + cos2x) dx =frac{3}{4+x^{2} } dx -2xdx+cos2xdx = ∫frac{3arctan(frac{x}{2}) }{2} - x^{2} + frac{sin2x}{2} = frac{3arctan(frac{x}{2}) + sin2x }{2} - x^{2} = frac{3arctan(frac{x}{2}) + sin2x }{2} - x^{2} + C

C∈R

Ответ дал: ageofmemories
0
-x^2 + C ... A лишняя
Ответ дал: MaxikMK
0
Ответ можно редактировать.
Ответ дал: MaxikMK
0
Такая "А" возникает, если в формуле лишний пробел.
Ответ дал: ageofmemories
0
упс. спасибо :,)
Вас заинтересует