Ответы
Ответ дал:
0
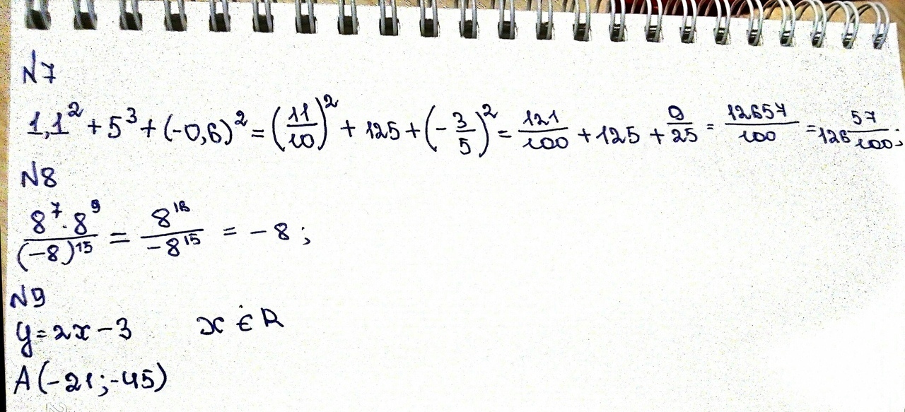
Вот решение график к 9 заданию на дополнительном файле.
Приложения:


Вас заинтересует
3 года назад
3 года назад
9 лет назад
9 лет назад