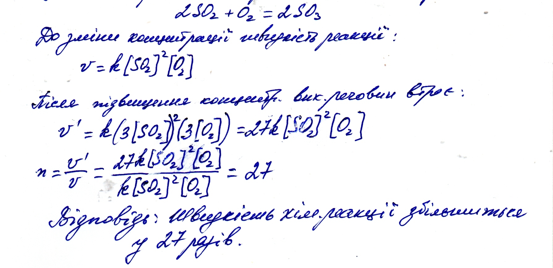
у скільки разів зміниться швидкість хімічної реакції SO2 + O2 = SO3 якщо концентрація вихідних речовин збільшиться втроє.
Ответы
Ответ дал:
0
...........................................................................................................................................
Приложения:

Ответ дал:
0
Дякую
Вас заинтересует
2 года назад
2 года назад
3 года назад
3 года назад
9 лет назад
9 лет назад