• Предмет: Математика
  • Автор: usovsasha02
  • Вопрос задан 8 лет назад

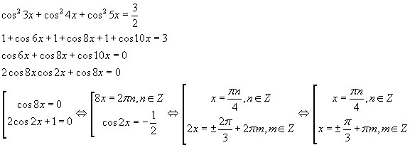
cos^2(2x)+cos^2(3x)+cos^2(4x)=3/2

Ответы

Ответ дал: danilmaslov80
0

Пошаговое объяснение:


Приложения:
Вас заинтересует