• Предмет: Алгебра
  • Автор: Lera199721
  • Вопрос задан 8 лет назад

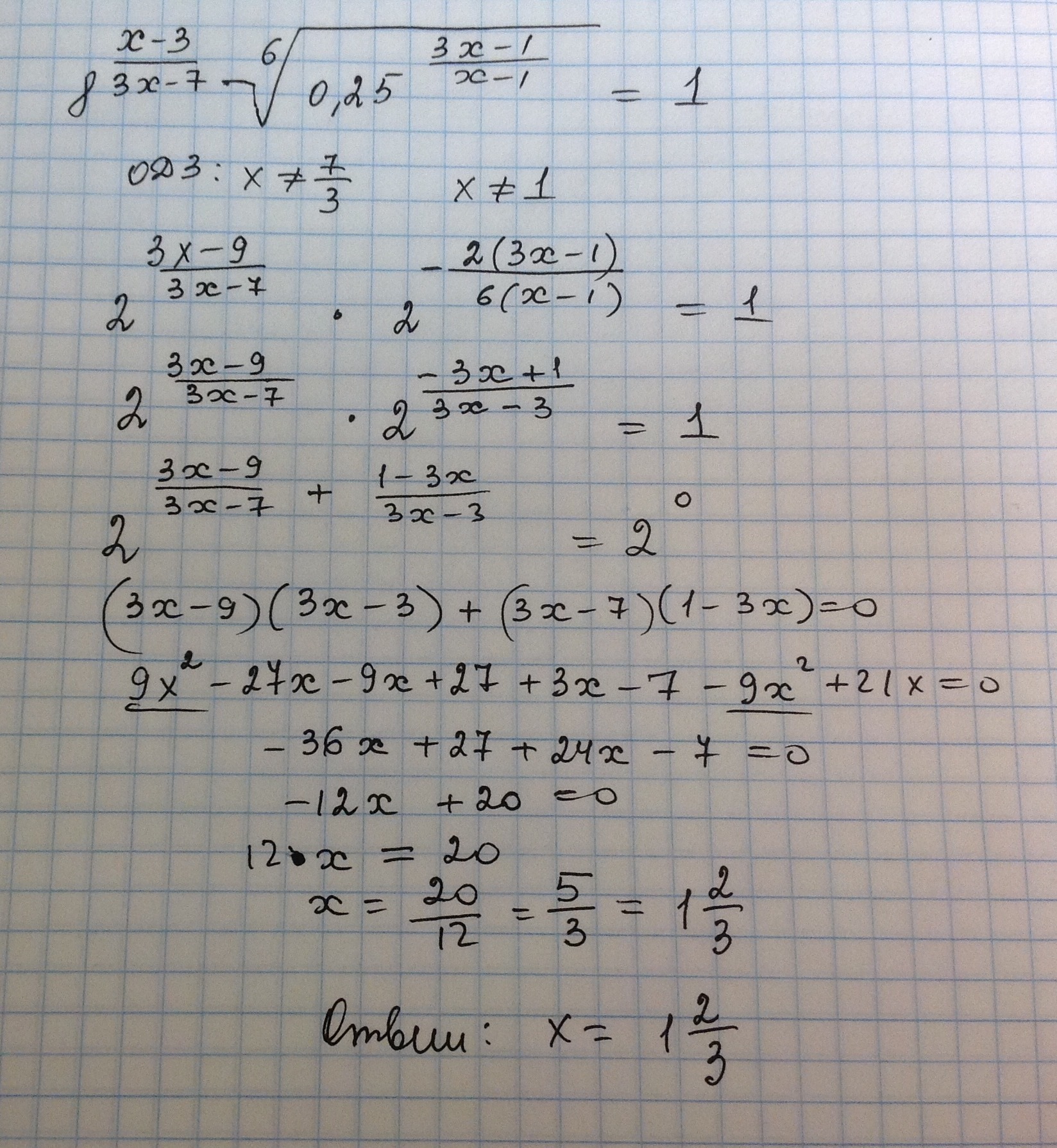
помогите решить третий пример пожалуйста!!! срочно очень!!!

Приложения:

Ответы

Ответ дал: maksimcat
0

Ответ на фото///////////

Приложения:
Ответ дал: Lera199721
0
А можете ще з другим допомогти ?
Ответ дал: Lera199721
0
теж дам балів !
Ответ дал: maksimcat
0
5) добавил
Ответ дал: maksimcat
0
Обнови страницу
Вас заинтересует