Ответы
Ответ дал:
0
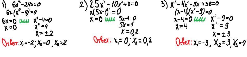
) х=0 или 6 х (квдрат)-24=0
6х(кв)=24
х(кв)=4
хп(первое)=2 х(второе)=-2
2)х=0 или 25х(кв)-10х+1=0
D=0
х=0.2
Подробнее - на Znanija.com - https://znanija.com/task/28016553#readmore
Ответ дал:
0
__________________________
Приложения:

Вас заинтересует
2 года назад
2 года назад
3 года назад
9 лет назад