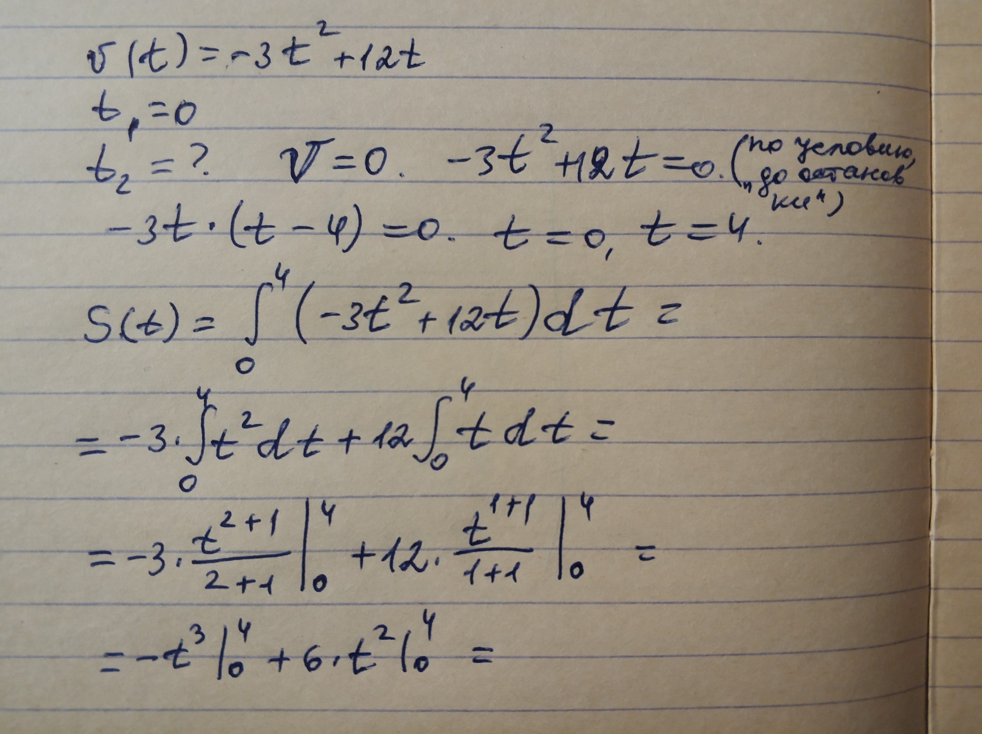
Cкорость движения точки изменяется по закону V=(-3t^2+12t) Найти путь, пройденный точкой от начала движения до ее остановки
Дошел до решения:
S'=V=12t-3t^2
S=(12t^2/2)-(3t^2/3)=6t^2-t^3
А как получить путь из этого?
Ответы
Ответ дал:
0
решение во вложении......
Приложения:


Вас заинтересует
2 года назад
2 года назад
3 года назад
3 года назад
9 лет назад