• Предмет: Алгебра
  • Автор: ginhemp
  • Вопрос задан 8 лет назад

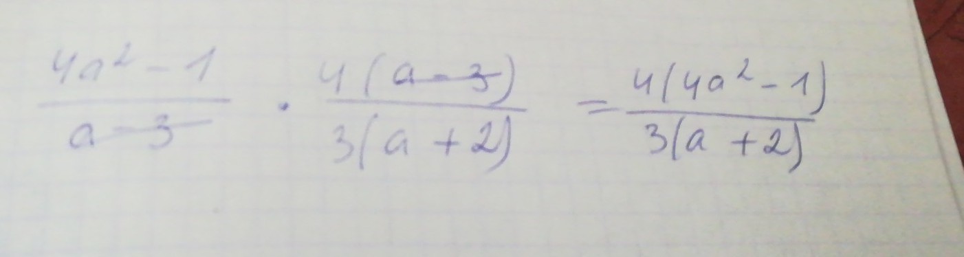
Нужна помощь с упрощением

Приложения:

Ответы

Ответ дал: alesyaperova
0
......................
Приложения:
Ответ дал: ENRIKI
0

(2а-1)(2а+1)/(а-3) ÷3(2а-1)/4(а-3)=

(2а-1)(2а+1)/(а-3) * 4(а-3)/3(2а-1)=

=4*(2а+1)/3

Приложения:
Вас заинтересует