• Предмет: Алгебра
  • Автор: Мозговина12
  • Вопрос задан 8 лет назад

♥♥♥Помогите срочно с алгеброй!!!♥♥♥
П_О_Ж_А_Л_У_Й_С_Т_А_

Приложения:

Ответы

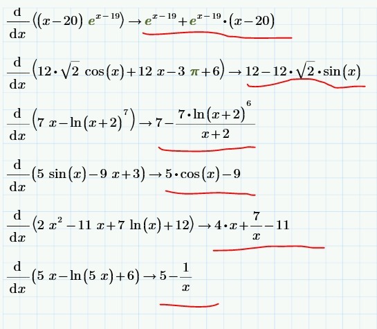
Ответ дал: StownCraft
0

ответ после символа "→". Считал в программе Mathcad.

Приложения:
Вас заинтересует