Ответы
Ответ дал:
0
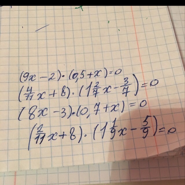
(9х-2)(0.5+х)=0
4.5х+9х²-1-2х=0
9х²+2.5х-1=0
D=6.25+36=42.25
√42.25=6.5
(-2.5+6.5)/18=4/18=2/9
(-2.5-6.5)/18=-(9/18)=-(1/2).
(4/11x+8)(9/7x-3/7)=0
4/11x+8=0
4x+88=0
4x=-88
x=-22
9/7x-3/7=0
9x-3=0
9x=3
x=1/3.
(8x-3)(0.7+x)=0
5.6x+8x²-2.1-3x=0
8x²+2.6x-2.1=0
D=6.76+67.2=73.96
√73.96=8.6
(-2.6+8.6)/16=6/16=3/8
(-2.6-8.6)/16=-11.2/16=-0.7.
(2/11x+8)(10/9x-5/9)=0
2/11x+8=0
2x+88=0
2x=-88
x=-44
10/9x-5/9=0
10x-5=0
10x=5
x=1/2.
4.5х+9х²-1-2х=0
9х²+2.5х-1=0
D=6.25+36=42.25
√42.25=6.5
(-2.5+6.5)/18=4/18=2/9
(-2.5-6.5)/18=-(9/18)=-(1/2).
(4/11x+8)(9/7x-3/7)=0
4/11x+8=0
4x+88=0
4x=-88
x=-22
9/7x-3/7=0
9x-3=0
9x=3
x=1/3.
(8x-3)(0.7+x)=0
5.6x+8x²-2.1-3x=0
8x²+2.6x-2.1=0
D=6.76+67.2=73.96
√73.96=8.6
(-2.6+8.6)/16=6/16=3/8
(-2.6-8.6)/16=-11.2/16=-0.7.
(2/11x+8)(10/9x-5/9)=0
2/11x+8=0
2x+88=0
2x=-88
x=-44
10/9x-5/9=0
10x-5=0
10x=5
x=1/2.
Вас заинтересует
2 года назад
2 года назад
3 года назад
3 года назад