• Предмет: Алгебра
  • Автор: kosovivanserg
  • Вопрос задан 8 лет назад

Решить уравнения
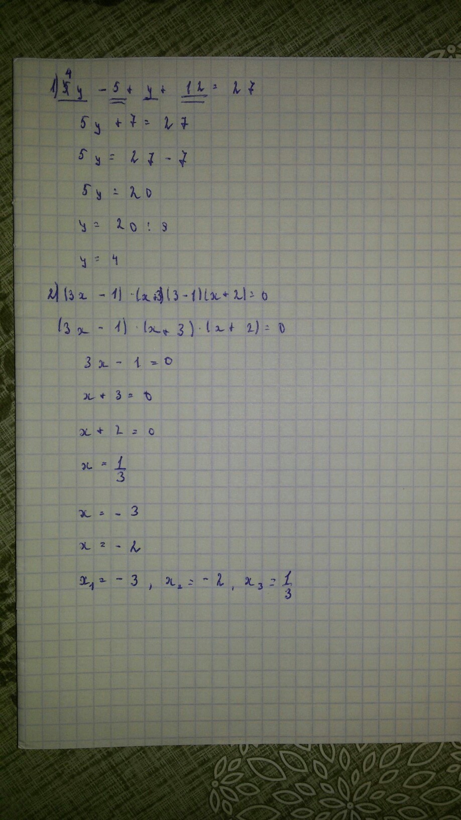
1)4y-5+y+12=27
2)(3x-1)(x+3)(3-1)(x+2)=0

Ответы

Ответ дал: ggasanova697gmailcom
0
вот так кажется
по другому я не знаю
Приложения:
Ответ дал: ggasanova697gmailcom
0
если есть ошибки то где напишите мне
Ответ дал: ggasanova697gmailcom
0
пожалуйста
Ответ дал: reddkit4
0

Ответ: x=1/3; -2 -3;

Подробное решение:

1) 4y-5+y+12=27

Упрощаем левую часть:

5y+7=27

Переносим все члены, несодержащие y в правую часть уравнения:

5y=-7+27;

5y=20;

Разделим обе части уравнения на 5 и упростим:

y=4

2) (3x-1)(x+3)(3-1)(x+2)=0

Приравниваем многочлены, содержащие x, к 0 и решаем:

3x-1=0;

3x=1;

x=1/3;

x+2=0;

x=-2;

x+3=0;

x=-3;








Приложения:
Вас заинтересует