Ответы
Ответ дал:
0
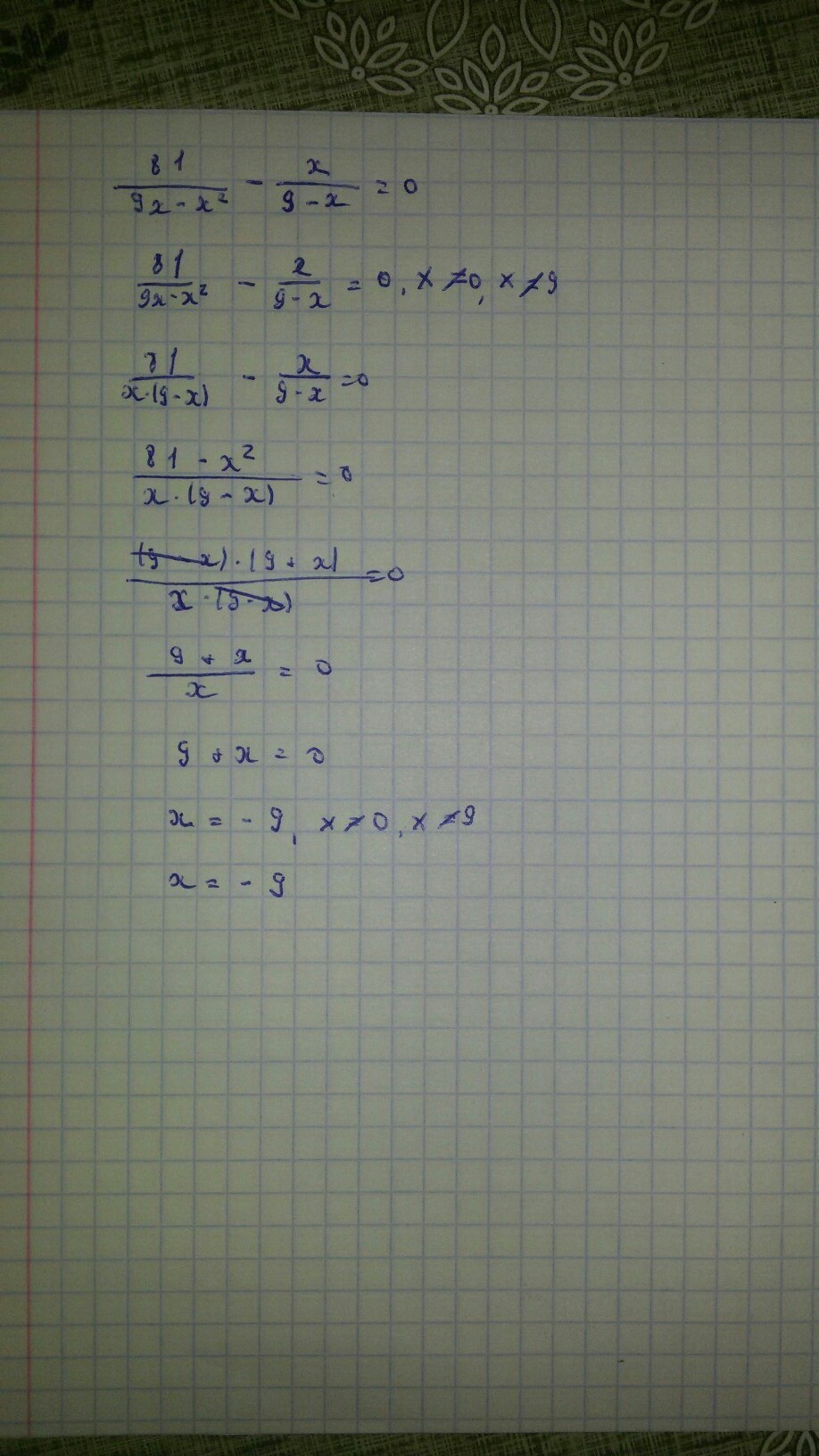
81/x(9-x)-x/9-x=0 (выносим x за скобки)
81/x(9-x)-x^2/x(9-x)=0 (приводим к общему знаменателю)
81-x^2/x(9-x)=0
(9-x)(9+x)/x(9-x)=0 (a^2-b^2=(a-b)(a+b)
9+x/x=0 (сокращаем)
9+x=0 (делим обе части на 0)
x=0-9 (перенёсим 9 за = с противоположным знаком)
x=-9
Ответ дал:
0
Что означает фраза "делим обе части на ноль". На ноль можно делить????
Ответ дал:
0
ну типа выкинуть знаменатель если за = стоит 0
Ответ дал:
0
Не пишите так. Говорим так: значение дроби равно нулю, когда числитель равен нулю, а знаменатель не равен нулю."
Ответ дал:
0
извени я просто спешила и ища этого так не аккуратно
Приложения:

Ответ дал:
0
Верно
Ответ дал:
0
спасибо
Вас заинтересует
2 года назад
3 года назад
3 года назад
9 лет назад
9 лет назад
9 лет назад