Ответы
Ответ дал:
0
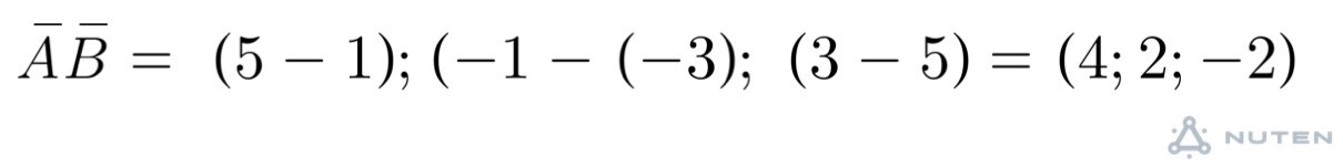
Если тебе нужны только координаты
Приложения:

Ответ дал:
0
Я подкорректировала, посмотри
Ответ дал:
0
Все хорошо, спасибо
Ответ дал:
0
Окей)
Вас заинтересует
2 года назад
3 года назад
9 лет назад
9 лет назад