• Предмет: Алгебра
  • Автор: plz73
  • Вопрос задан 8 лет назад

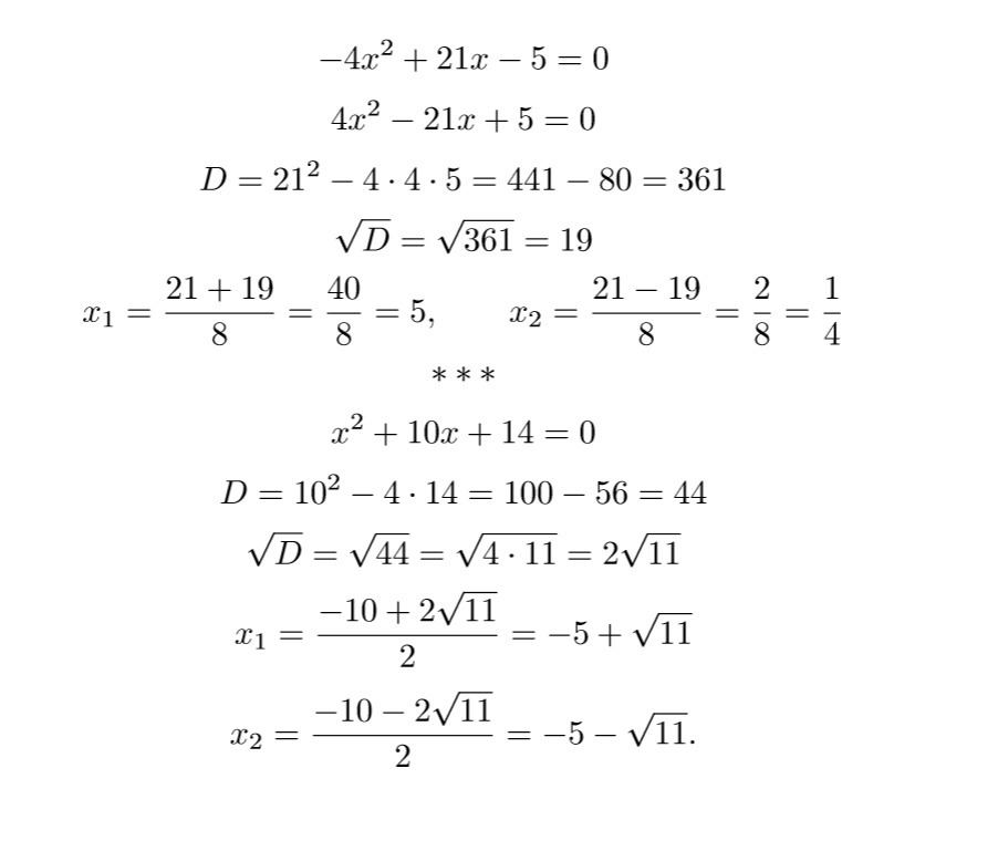
АЛГЕБРА, КВАДРАТНЫЕ УРАВНЕНИЯ. Решение полностью.

Приложения:

Ответы

Ответ дал: genius20
0

Если появятся какие-нибудь вопросы — задавайте.

Если моё решение оказалось полезным, смело отмечайте его как «лучший ответ».

Приложения:
Ответ дал: plz73
0
Извините
Ответ дал: plz73
0
А можете еще на несколько вопросов ответить?
Ответ дал: plz73
0
Вопросы в профиле
Ответ дал: plz73
0
По этой же теме
Вас заинтересует