• Предмет: Алгебра
  • Автор: iskorka33
  • Вопрос задан 8 лет назад

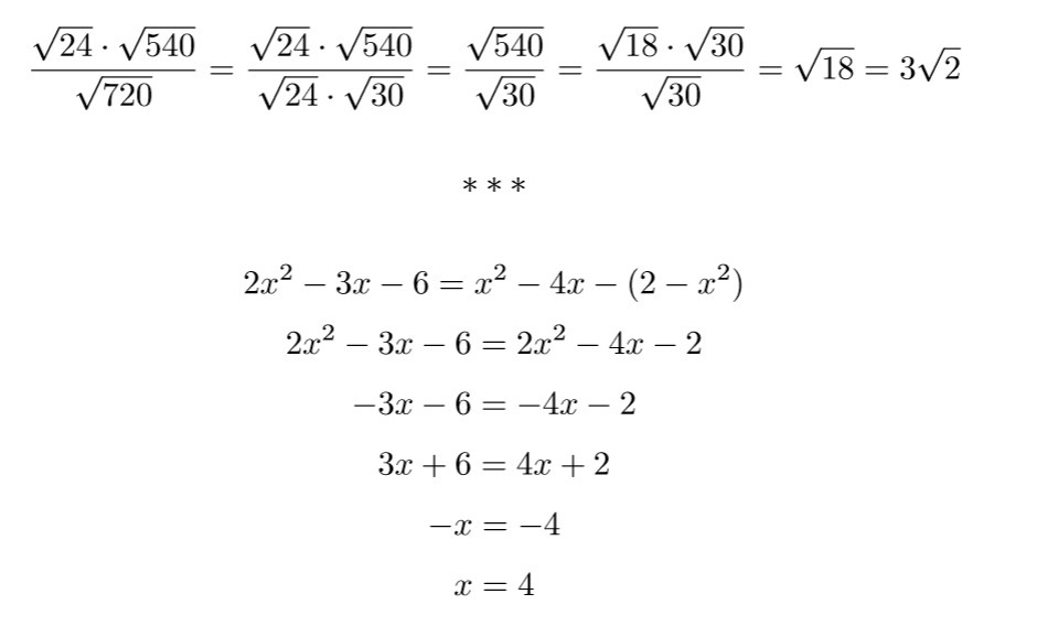
Помогите пожалуйста с заданиями 3 и 4

Приложения:

Ответы

Ответ дал: genius20
0

Если появятся какие-нибудь вопросы — задавайте.

Если моё решение оказалось полезным, смело отмечайте его как «лучший ответ».

Приложения:
Вас заинтересует