• Предмет: Математика
  • Автор: elenastorm
  • Вопрос задан 8 лет назад

Решите уравнения:
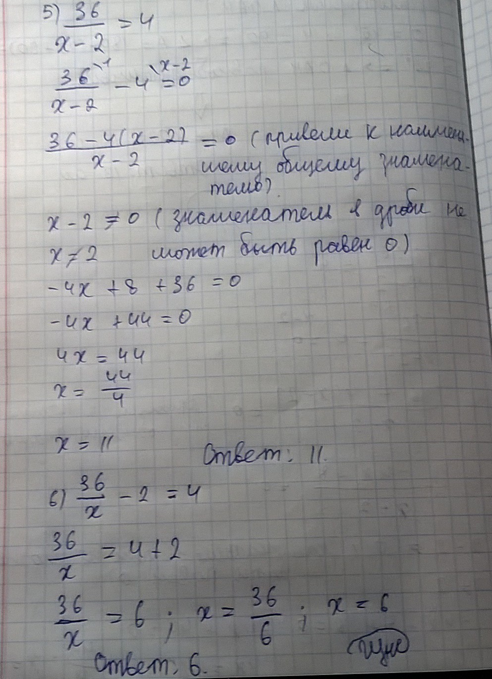
5) 36:(x-2)=4 (найдите х(с объяснением))
6) 36:х - 2 = 4

Приложения:

Ответы

Ответ дал: Nekit455
0

Ответ:

5) 6;

6) 11.

Пошаговое объяснение:

//////////фото//////////


Приложения:
Вас заинтересует