• Предмет: Математика
  • Автор: DejavuP
  • Вопрос задан 8 лет назад

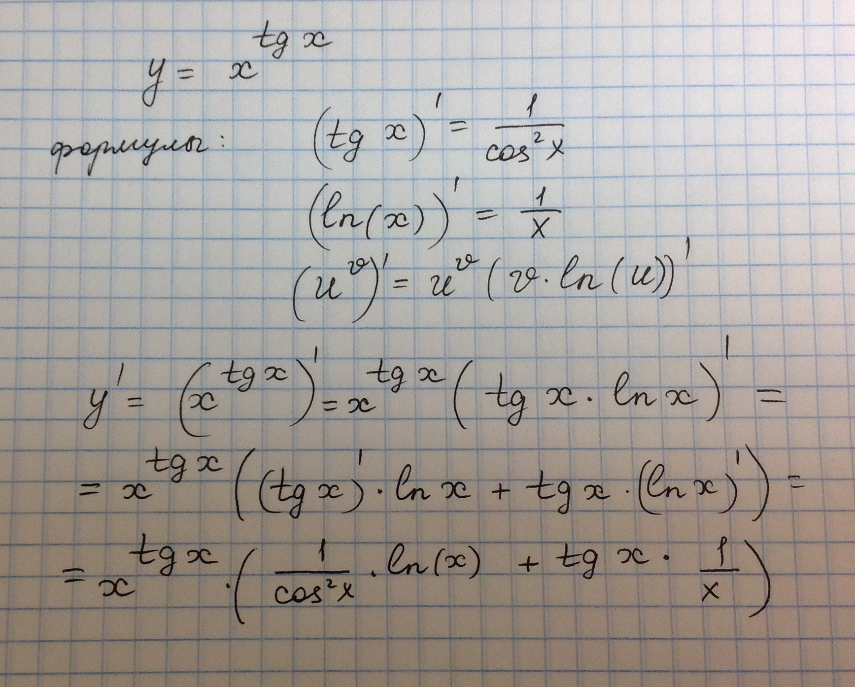
помогите найти производную

Приложения:

Ответы

Ответ дал: maksimcat
0

Ответ:


Пошаговое объяснение:

ответ на фото///////////////

Приложения:
Вас заинтересует