Ответы
Ответ дал:
0
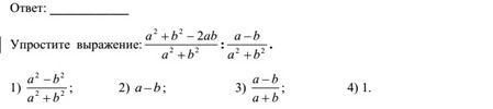
1. (a²+b²-2ab)/(a²+b²)=(a-b)²/(a²+b²).
2. ((a-b)²/(a²+b²)):((a-b)/(a²+b²))=a-b.
Ответ: 2).
Ответ дал:
0
Вот пожалуйста. фотка
Приложения:

Вас заинтересует
2 года назад
2 года назад
3 года назад
3 года назад
9 лет назад
9 лет назад
9 лет назад
9 лет назад