• Предмет: Алгебра
  • Автор: zhasminasharipova
  • Вопрос задан 8 лет назад

Помогите решить
Срочно!
Даю 12 баллов

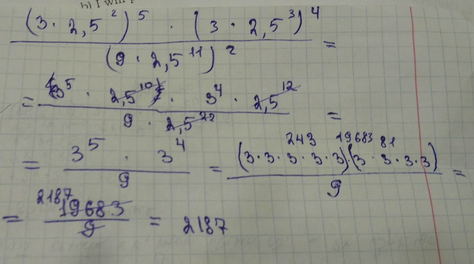
Приложения:

Ответы

Ответ дал: valeriya3006
0
Я бы сделала так но не могу давать 100% что это точно правильно
Приложения:
Вас заинтересует