Ответы
Ответ дал:
0
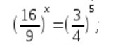
(16/9)^х=(3/4)^5
((4/3)^2)^х=((4/3)^(-1))^5
(4/3)^(2х)=(4/3)^(-5)
2х=-5
х = -2,5
((4/3)^2)^х=((4/3)^(-1))^5
(4/3)^(2х)=(4/3)^(-5)
2х=-5
х = -2,5
Вас заинтересует
2 года назад
2 года назад
3 года назад
3 года назад
9 лет назад
9 лет назад