• Предмет: Физика
  • Автор: Dasha456ok
  • Вопрос задан 11 лет назад

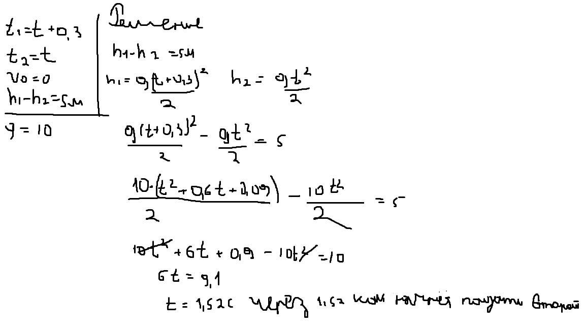
Два тела начали свободно падать с одной и той же высоты. Одно вслед за другим через 0,3 с. Через какое время расстояние между телами станет равным 5 метрам.
Помогите!

Ответы

Ответ дал: Аноним
0
вот решение 
Приложения:
Ответ дал: Аноним
0
только ответ от кого плесать
Вас заинтересует