• Предмет: Математика
  • Автор: valeriyadenism
  • Вопрос задан 8 лет назад

Пожалуйста решите:
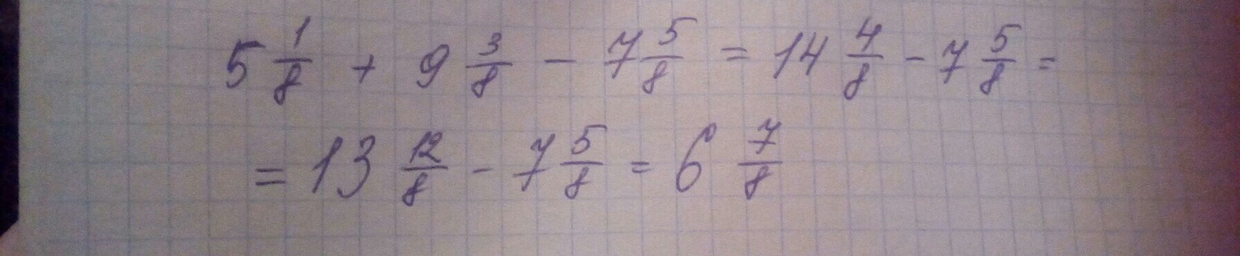
5 1/8+9 3/8-7 5/8=

Ответы

Ответ дал: princess181433
0
решение тут!!!!!!!)))))))))))))
Приложения:
Ответ дал: ElectroM17
0

Переводим смешанные дроби в неправильные и находим НОЗ:

frac{41}{8} + frac{75}{8} - frac{61}{8} = 6,875

1) frac{41}{8} + frac{75}{8} = frac{116}{8}

2) frac{116}{8} - frac{61}{8} = frac{55}{8} = 6frac{7}{8} = 6,875

Приложения:
Вас заинтересует