• Предмет: Геометрия
  • Автор: Igor228youtube
  • Вопрос задан 8 лет назад

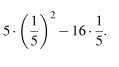
Как решить пример?

5x 1/5^2-16x 1/5

Приложения:

Ответы

Ответ дал: princess120051
0
5×1/5^2-16×1/5
1/5^2=1/5×1/5=1/25
5×1/25=0,2
16×1/5=3,2
0,2-3,2=-3
Ответ:-3
Ответ дал: Mozg0lom
0
5×1/5^2-16×1/5
1/5-16/5
0.2-3.2
ответ -3
Ответ дал: Igor228youtube
0
а как в ответ написать в решу огэ?
Ответ дал: EliseyIvanov01
0
Здравствуйте, можете пожалуйста помочь мне с литературой?
Вас заинтересует