Ответы
Ответ дал:
0
Смотри...............................
Приложения:

Ответ дал:
0
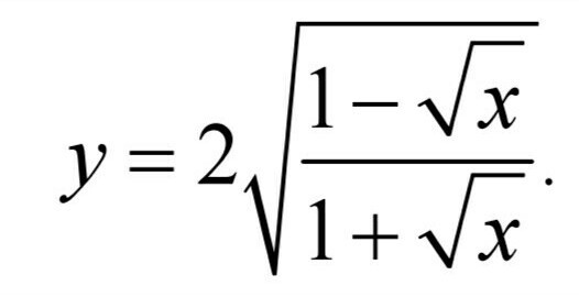
y"=2*1/2V1-Vx/1+vx*((1-Vx)/(1+vx))"=V1+Vx/V1-Vx*на производную, которую вычислим отдельно, (1-Vx)"*(1+Vx)-(1-Vx)(1+vx)" : (1+Vx)^2=(-1/2Vx(1+Vx)-(1-Vx)*1/2Vx) : (1+Vx)^2= выносим за скобки 1/2Vx и получаем -1/ Vx : (1+vx)^2, продолжение -1/Vx(1+Vx)^2*V1+vx/V-Vx= дальше можно преобразовать (1+Vx)^2=(V1+Vx)^4 исократить идальше использовать ф-лу (а-в)(а+в), ответ -1/x(1+Vx)V1-x
Приложения:

Вас заинтересует
2 года назад
3 года назад
9 лет назад
9 лет назад
9 лет назад