• Предмет: Алгебра
  • Автор: lfybk92
  • Вопрос задан 8 лет назад

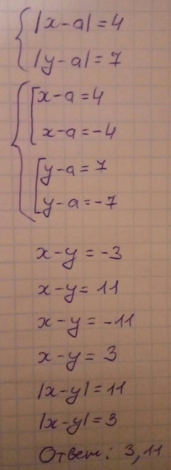
Помогите решить. Желательно с решением. С заданий с модулем

Приложения:

Ответы

Ответ дал: qwerasdfzxcvtgb
0
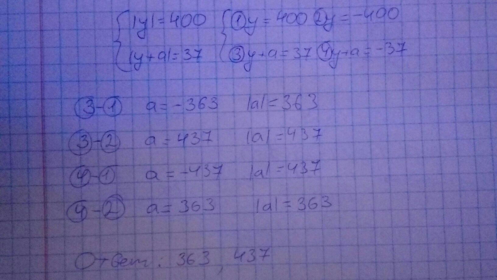
вот б)..................
Приложения:
Ответ дал: lfybk92
0
А можно пожалуйста еще к А решение?
Ответ дал: qwerasdfzxcvtgb
0
Пожалуйста
Ответ дал: lfybk92
0
Спасибо)
Вас заинтересует