Ответы
Ответ дал:
0
!!!!!!!!!!!!!!!!!!!!!!!
Приложения:


Ответ дал:
0
Спасибо большое
Ответ дал:
0
Почему ответ должен быть с логарифмами? Photomath даёт ответ с логарифмом. Вы там это увидели?
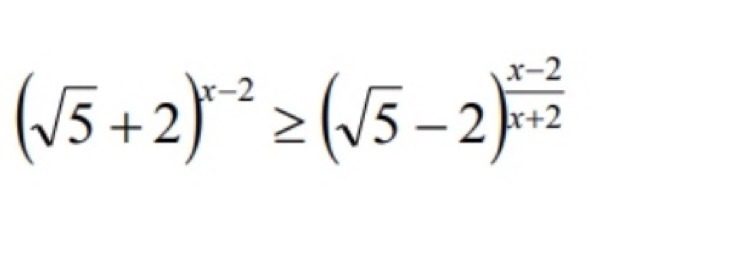
Решение задания приложено
Приложения:

Вас заинтересует
2 года назад
3 года назад
9 лет назад
9 лет назад
9 лет назад