Ответы
Ответ дал:
0
Решение прилагаю в прикреплённом файле
Приложения:

Ответ дал:
0
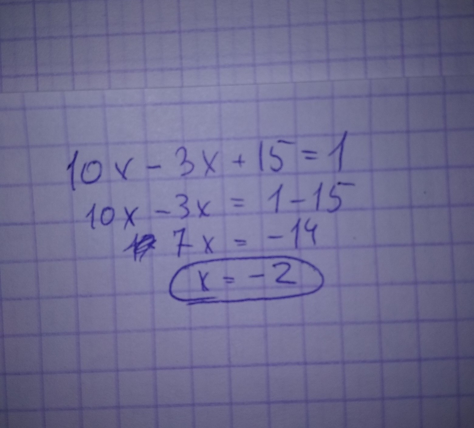
10x-3(x-5)=1
10x-3x+15=1
7x+15=1
7x=1-15
7x=-14
x=-2
Ответ. x=-2
10x-3x+15=1
7x+15=1
7x=1-15
7x=-14
x=-2
Ответ. x=-2
Приложения:

Вас заинтересует
2 года назад
3 года назад
9 лет назад
9 лет назад