• Предмет: Алгебра
  • Автор: obyava12
  • Вопрос задан 8 лет назад

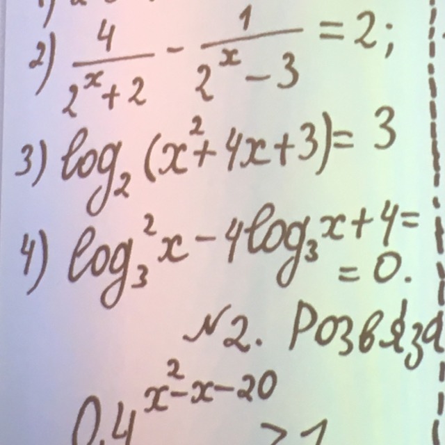
Умоляю решите четвёртый номер логарифм !!

Приложения:

Ответы

Ответ дал: ENRIKI
0

Log3 x=t

t^2-4t+4=0

(t-2)^2=0

t-2=0

t=2

Log3 x=2

Log3 x=log 3 (3^2)

X=9

Вас заинтересует