• Предмет: Математика
  • Автор: anastaciacalmykowa
  • Вопрос задан 8 лет назад

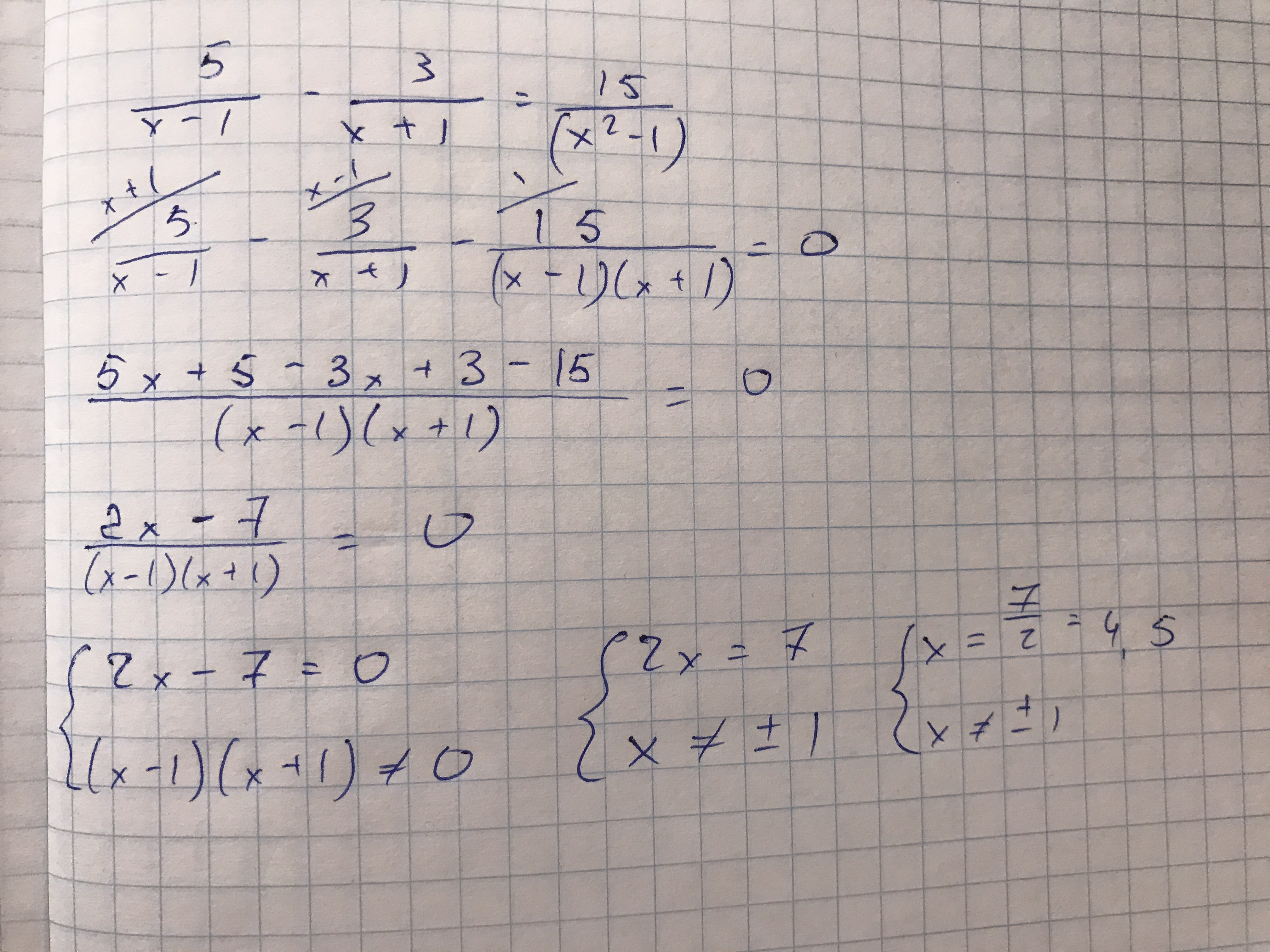
5/(x – 1) – 3/(x + 1) = 15/(x2 – 1)
прошу помогите дам 20 баллов прошу!!!

Ответы

Ответ дал: nominislife
0

............................

Приложения:
Ответ дал: anastaciacalmykowa
0
спасибо
Вас заинтересует