• Предмет: Алгебра
  • Автор: НИКИТА54654
  • Вопрос задан 8 лет назад

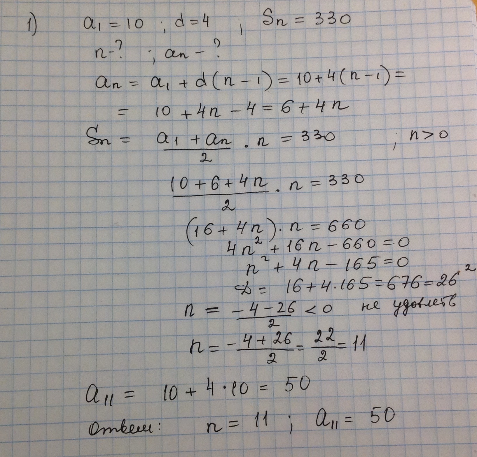
1)Дано; а1=10 ,d=4 s Sn=330 Найдите n и аn
2)Дано;d=4 an=50 Sn=330 Найдите а1 и n

Ответы

Ответ дал: maksimcat
0

Ответ на фото///////////////

Приложения:
Вас заинтересует