• Предмет: Алгебра
  • Автор: Зук
  • Вопрос задан 8 лет назад

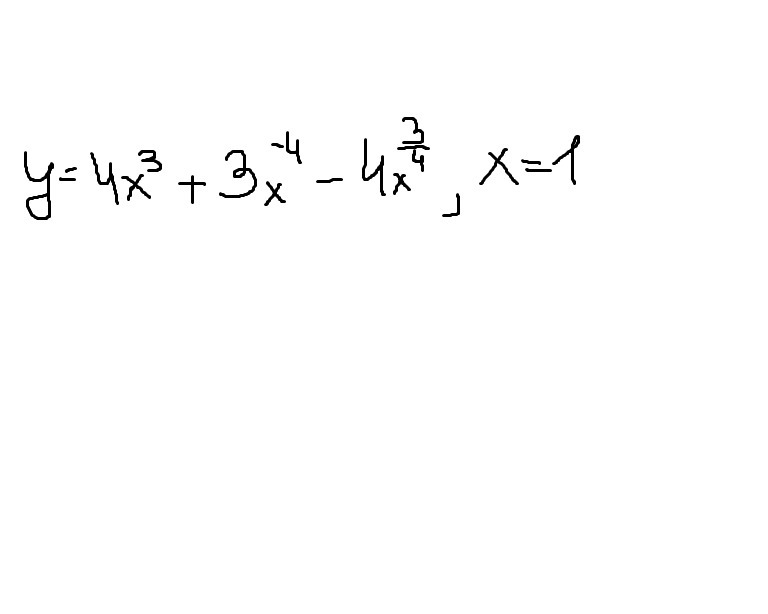
Найдите производную в данном значении.

Приложения:

Ответы

Ответ дал: epsonl386
0

Y=4*1^3+3*1^(-4)-4*1^(3/4)=4+3-4=3

Вас заинтересует