• Предмет: Алгебра
  • Автор: MashaChan2003
  • Вопрос задан 8 лет назад

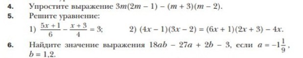
решите уравнение, под заданием 5, прошу, пожалуйста, 7 класс

Приложения:

Ответы

Ответ дал: K4ONE
0

frac{5x+1}{6} - frac{x+3}{4} =3\ 2(5x+1)-3(x+3)=36\ 10x+2-3x-9=36\ 7x-7=36\ 7x=43\ x=frac{43}{7}

Ответ дал: MashaChan2003
0
а под 2) можешь решить?!
Ответ дал: MashaChan2003
0
можешь или нет?
Ответ дал: K4ONE
0
могу
Ответ дал: MashaChan2003
0
спасибо, уже не надо❤❤❤
Вас заинтересует