• Предмет: Алгебра
  • Автор: ChChelovekov
  • Вопрос задан 8 лет назад

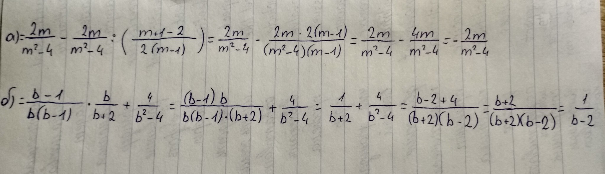
Помогите решить. Срочно!!!

Приложения:

Ответы

Ответ дал: vadimkamandrik
0
Надеюсь всё понятно...
Приложения:
Вас заинтересует