• Предмет: Алгебра
  • Автор: Аноним
  • Вопрос задан 11 лет назад

решите уравнение 2,1(x+4)=1,3+0,1(x-11)

Ответы

Ответ дал: dtnth
0
2.1(x+4)=1.3+0.1(x-11)    |*10
21(x+4)=13+(x-11)
21x+84=13+x-11
21x+84=x+2
21x-x=2-84
20x=-82
x=-82:20
x=-4.1
ответ: -4.1
Ответ дал: Артур998
0
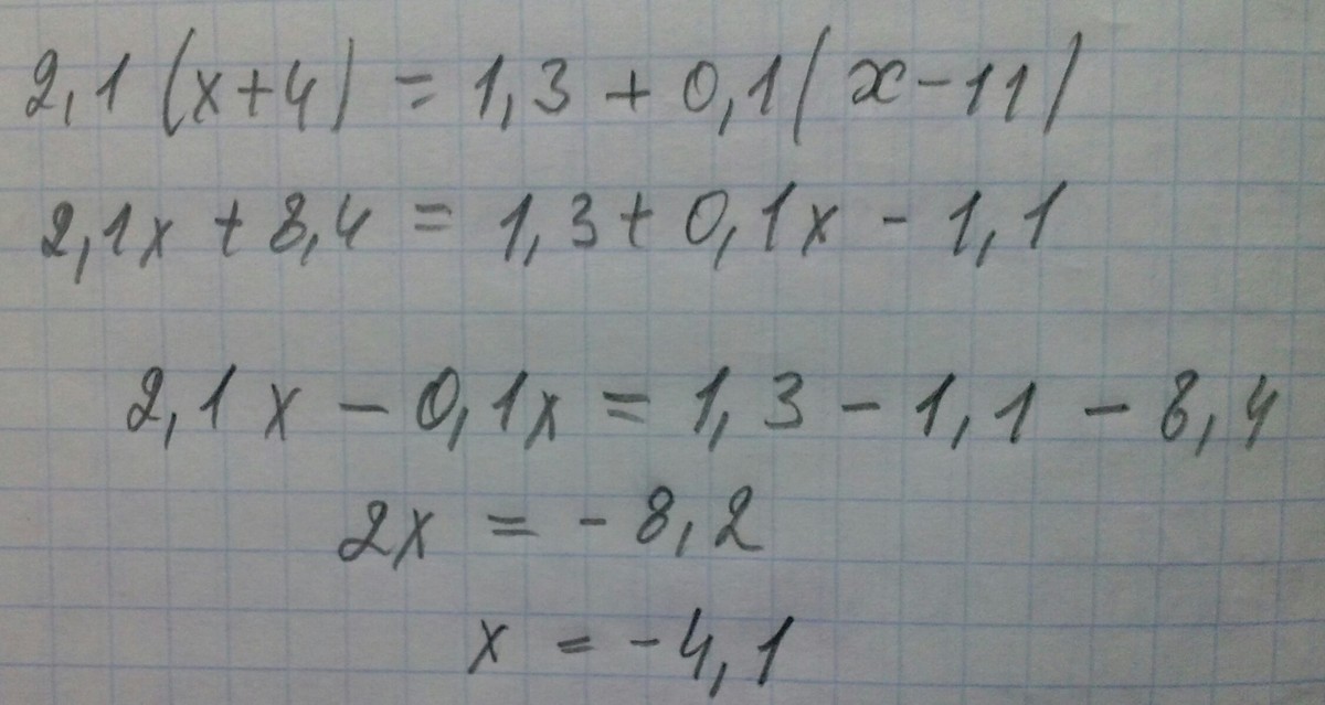
Смотри решение во вложении.
Приложения:
Вас заинтересует