Ответы
Ответ дал:
0
Ответ:
Пошаговое объяснение:
Приложения:

Ответ дал:
0
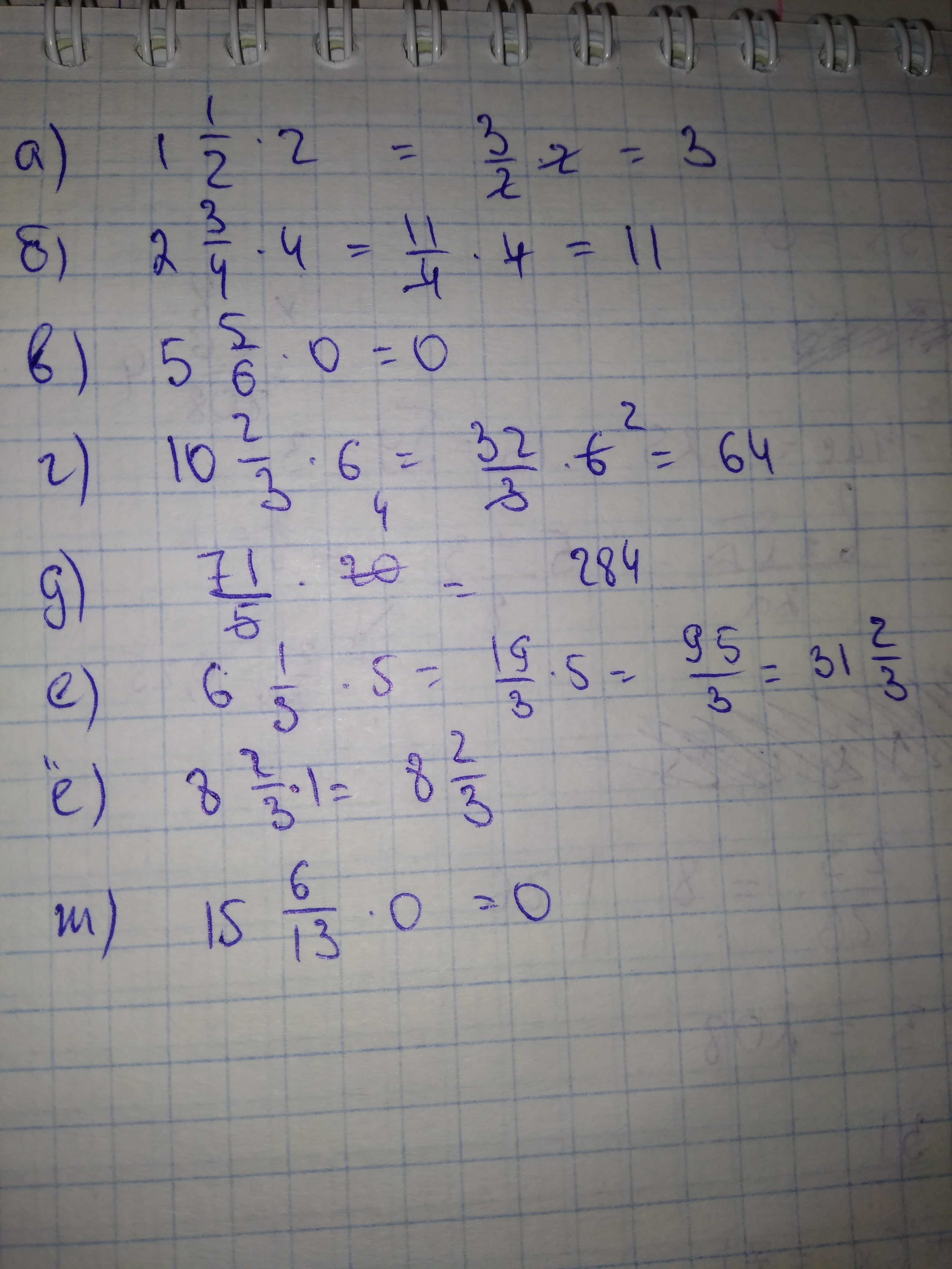
а) 3/2×2=3
б) 11/4×4 = 11
в) 35/6×0 = 0
г) 32/3×6 = 32×2 = 64
д) 71/5×20 = 71×4 = 284
е) 19/3×5 = 95/3
ё) 26/3×1 = 26/3
ж) 201/13×0 = 0
б) 11/4×4 = 11
в) 35/6×0 = 0
г) 32/3×6 = 32×2 = 64
д) 71/5×20 = 71×4 = 284
е) 19/3×5 = 95/3
ё) 26/3×1 = 26/3
ж) 201/13×0 = 0
Приложения:

Вас заинтересует
2 года назад
2 года назад
3 года назад
9 лет назад
9 лет назад
9 лет назад